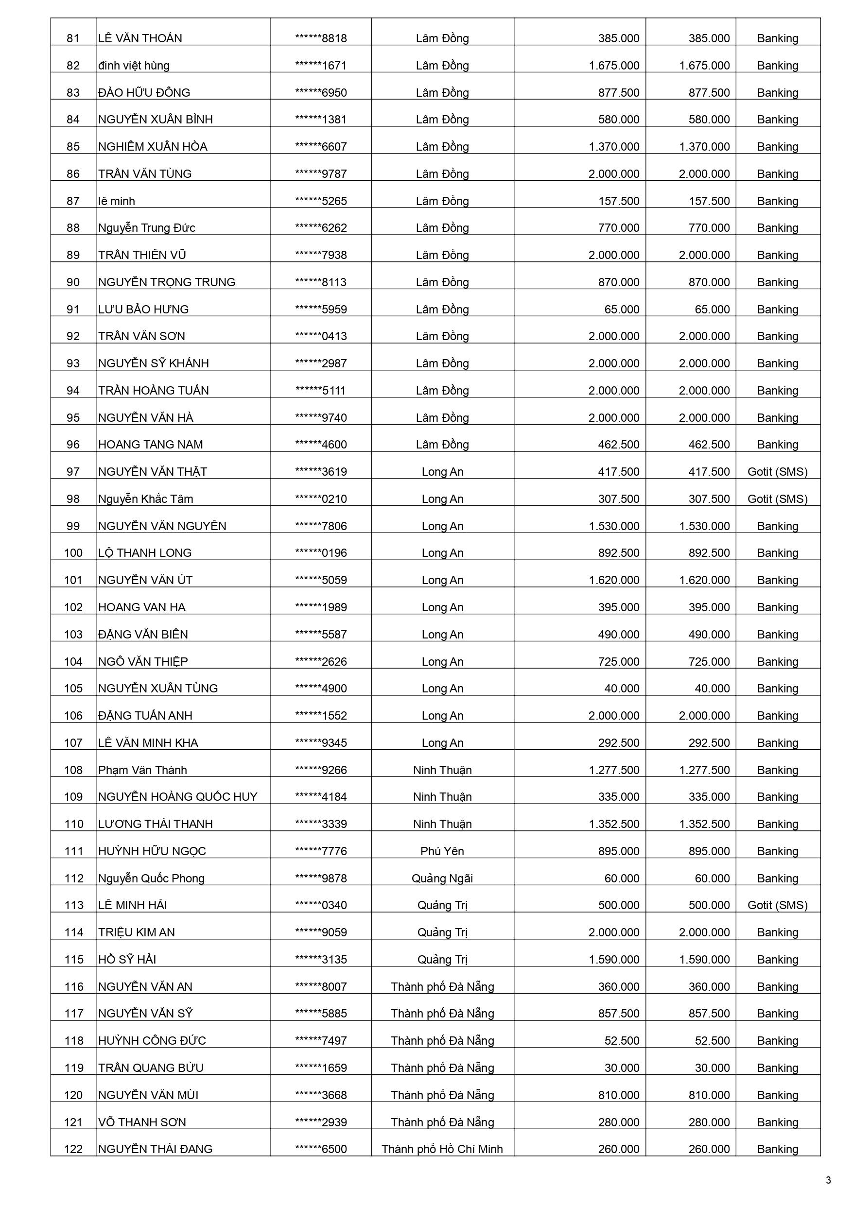
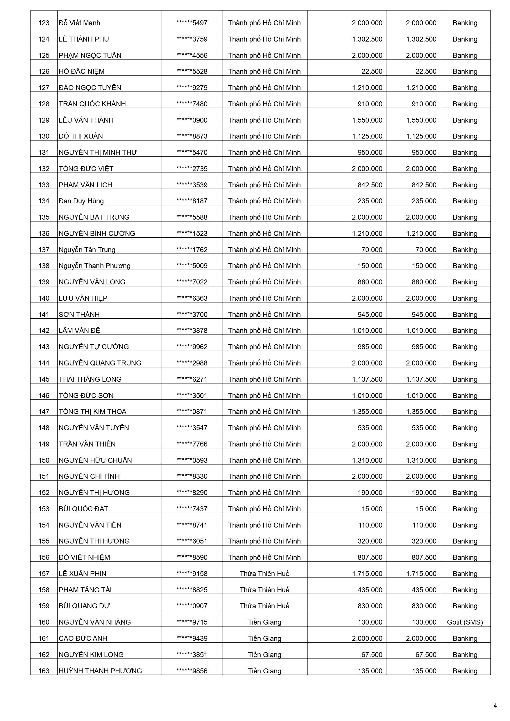
Miền Nam | Kết Quả CTKM Bền Chắc Hơn Xanh Hơn Đợt 1 (01/06/2025 - 30/06/2025)
- 18/07/2025
Danh sách chi trả kết quả
CTKM Bền Chắc Hơn Xanh Hơn Đợt 1
(Miền Nam)
Thời gian: 01/06/2025 - 30/06/2025
Image

Image

Image

Image

DURAflex xin chúc mừng các quý khách hàng may mắn đã trúng giải trong chương trình khuyến mãi Bền Chắc Hơn Xanh Hơn tại miền Nam! Danh sách trên đây đã được chúng tôi tổng hợp và xác nhận theo đúng điều kiện của chương trình.
Nếu quý khách có bất kỳ thắc mắc nào, vui lòng liên hệ ngay Hotline: 18001218
Đừng quên theo dõi Fanpage chính thức của DURAflex tại: https://www.facebook.com/TamDURAflex để không bỏ lỡ những chương trình ưu đãi hấp dẫn sắp tới!





Đánh giá và nhận xét
Đánh giá trung bình
0/5
5
4
3
2
1
Chia sẻ và nhận xét về bài viết
Chia sẻ và nhận xét về bài viết
Bài viết chưa có đánh giá nào